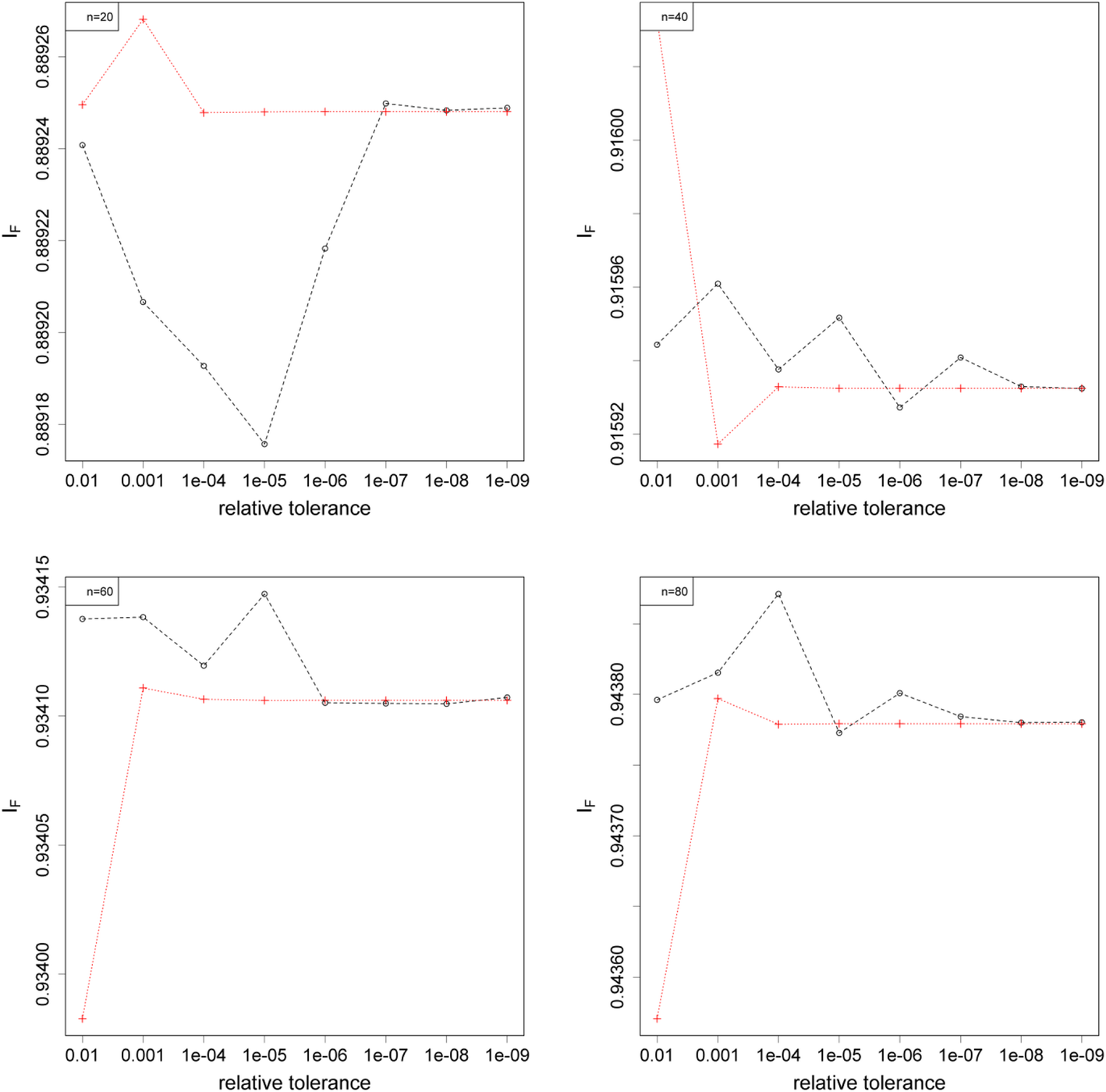
Fig. 6
From: Estimating linkage disequilibrium from genotypes under Hardy-Weinberg equilibrium

Plots of IF index against relative tolerance for the two maximisation routines using unphased data: the EM algorithm (black circles), and Constrained ML (red crosses). Four different sample sizes were examined: 20 (top left), 40 (top right), 60 (bottom left), and 80 (bottom right)